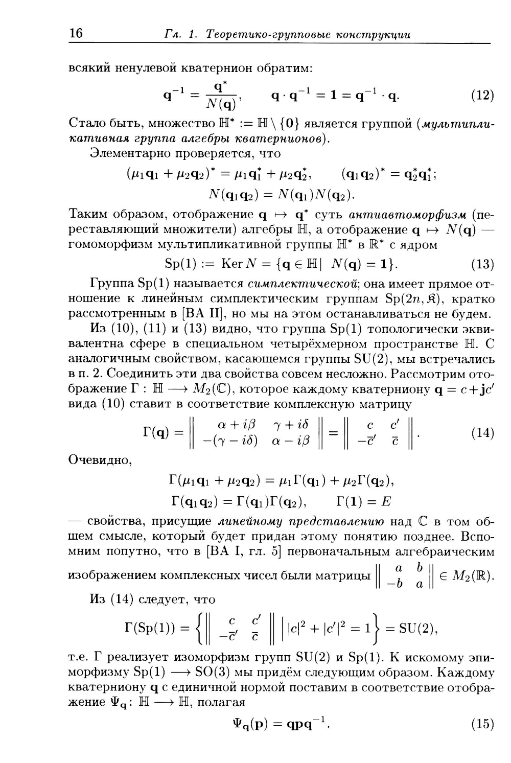
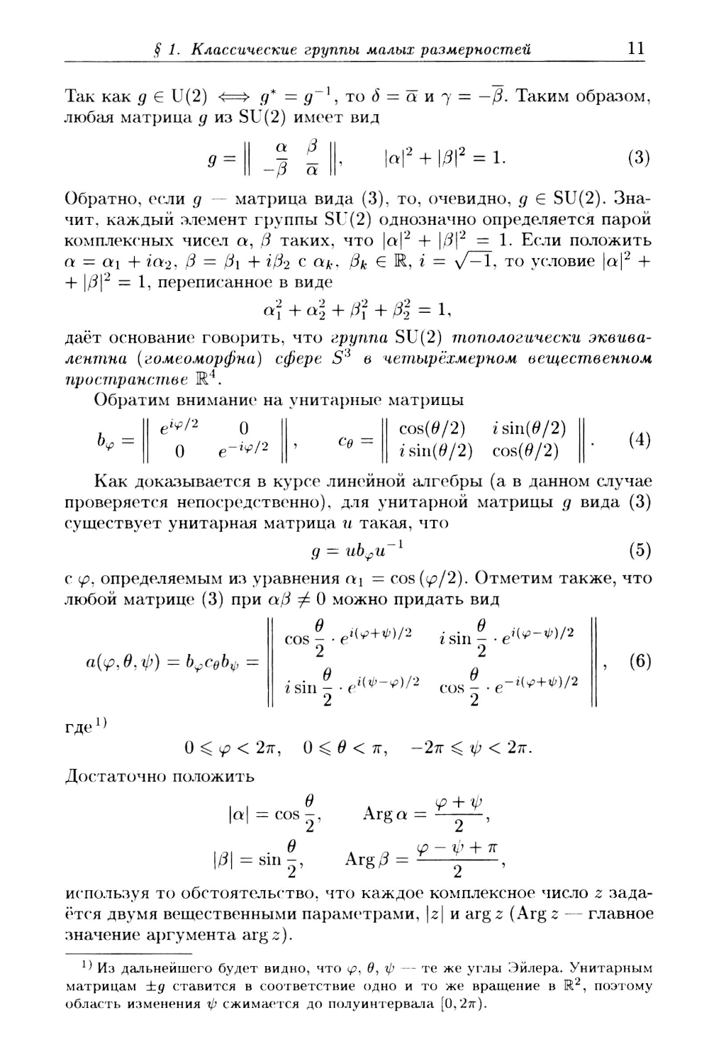
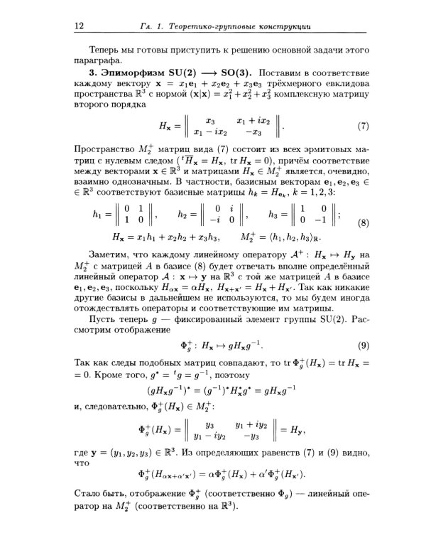
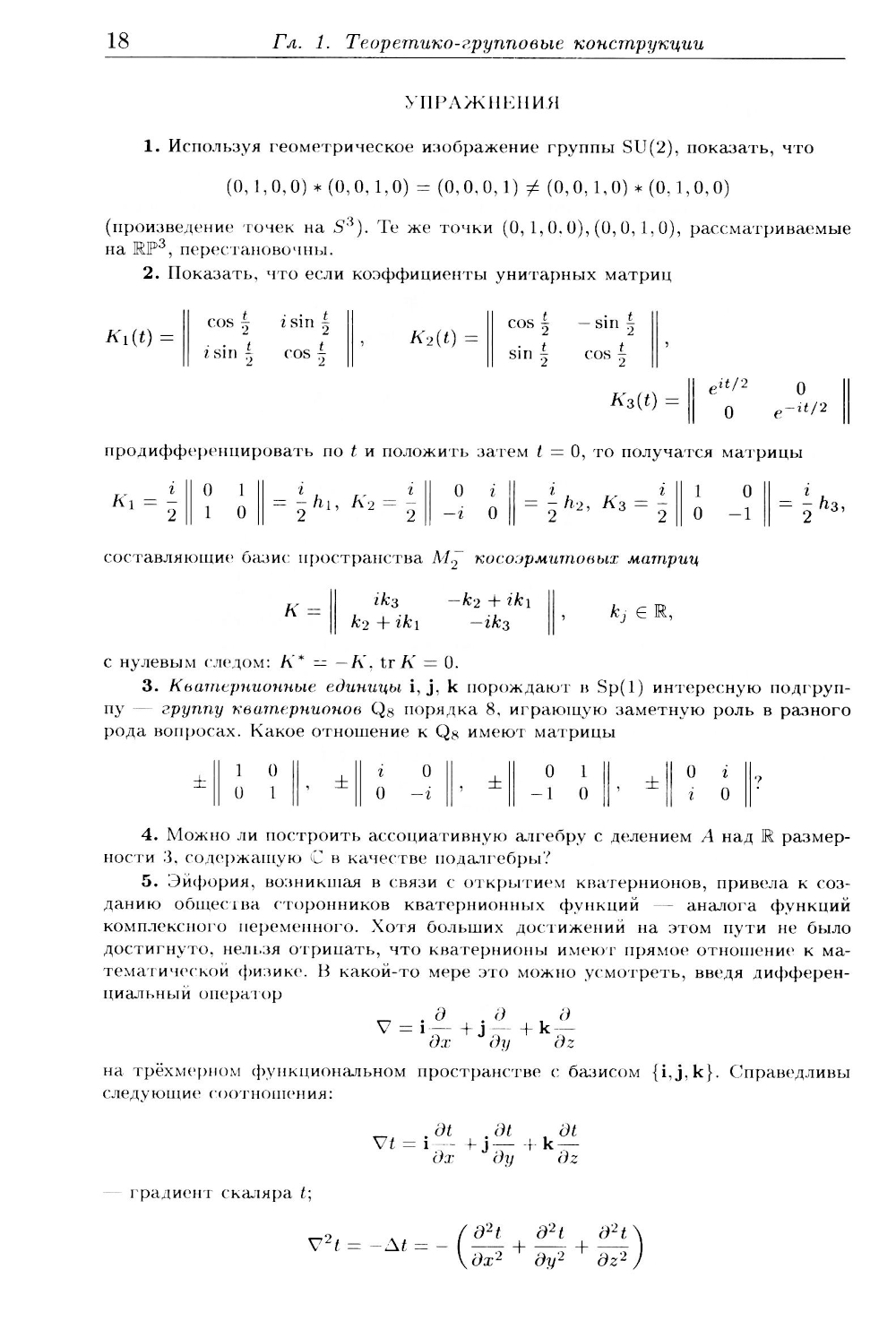
Аннотация: Введение в алгебру. В 3 ч. Ч. 3: Основные структуры алгебры. 4-е изд., стер
Алгебраические структуры, известные из первых двух частей учебника (группы, кольца, модули), изучаются на несколько более высоком уровне. Идеи и результаты теории представлений, подкреплённые многочисленными примерами, придают всему изложению общематематическое звучание. Особое место занимают конечно порождённые абелевы группы, теоремы Силова, представления и характеры конечных групп, алгебры над классическими полями. Имеются теоретико-числовые приложения. В заключительной главе изложены основы теории Галуа. Каждый параграф снабжён упражнениями. Ответы и наброски решений собраны в отдельном разделе.| Издательство | МЦНМО |
| Автор/составитель | Кострикин Алексей Иванович |
| Год выпуска | 2024 |
| Кол-во страниц | 272 |
| ISBN | 978-5-4439-4479-1 |
| Кол-во томов | В 3 ч. Ч. 3: Основные структуры алгебры |
| Обложка | переплет-твердая обложка |
| Вес | 367г |
| Формат | 14 x 22 cm |
| Тираж | 1500 |
| Возрастная категория | 0+ |

























