Аннотация: Внимание, ловушка!
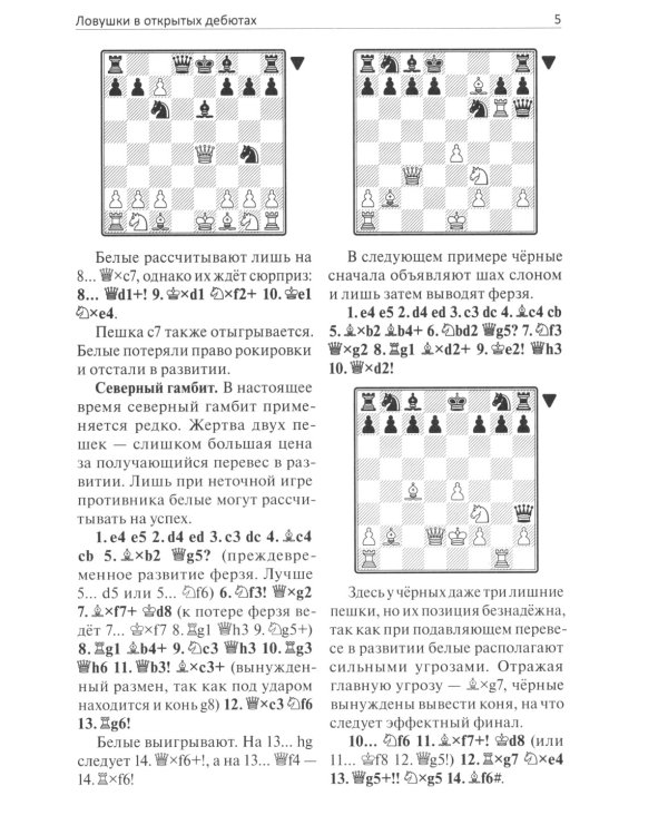
Ловушки - увлекательная часть шахмат. Любая ловушка - это всегда неожиданность, оригинальный замысел, остроумная комбинация. В данной книге вас ждут старинные ловушки, и ловушки появившиеся в золотой век шахмат, дебютные ловушки и ловушки из области середины игры и эндшпиля. Играть только на ловушки вредно, но в худшей позиции иногда только ловушки дают шансы на спасение, а изучение ловушек приносит не только удовольствие, но и развивает комбинационное зрение и фантазию. Книга невелика по объему, но увлекательна по содержанию. Для широкого круга любителей шахмат.| Издательство | Изд.Калиниченко |
| Автор/составитель | Сокольский Алексей Павлович |
| Год выпуска | 2024 |
| Кол-во страниц | 64 |
| ISBN | 978-5-00235-028-5 |
| Обложка | мягкая обложка |
| Вес | 81г |
| Формат | 14 x 22 cm |
| Тираж | 1000 |
| Возрастная категория | 0+ |
Бесплатная Доставка по Европе (EU)*
*Для заказов свыше 40, - евро Подробнее
Внимание, ловушка!
- Производитель: Изд.Калиниченко
- Модель: TEEI11471560
- ISBN: 978-5-00235-028-5
- Наличие:
-
Срок доставки: 21 день
- (5 оценок)






