Аннотация: Биохимия. Основные метаболические пути организма человека (38 карточек)
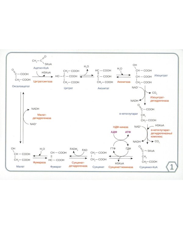
Учебное пособие представляет собой ламинированные цветные карточки по разделу биохимии, изучающему основные метаболические пути организма человека. На лицевой стороне каждой карточки представлены схемы биохимических процессов в организме, на обороте - приводится их определение, с указанием локализации в клетке и регуляторных механизмов. Данная форма представления материала удобна и эффективна для освоения курса биохимии. Учебное пособие разработано на кафедре биологической химии ФГАОУ ВО «Первый МГМУ им. И.М. Сеченова» (Сеченовский Университет) Минздрава России. Для студентов медицинских вузов.| Издательство | Особая книга |
| Автор/составитель | Косенков Д. А. |
| Год выпуска | 2024 |
| Кол-во страниц | 76 |
| ISBN | 978-5-98811-787-2 |
| Обложка | Карточки+Полиэтилен |
| Вес | 184г |
| Формат | 14 x 10 cm |
| Тираж | 500 |
| Возрастная категория | 16+ |
Бесплатная Доставка по Европе (EU)*
*Для заказов свыше 40, - евро Подробнее
Биохимия. Основные метаболические пути организма человека (38 карточек)
-18%- Производитель: Особая книга
- Модель: TEEI11287200
- ISBN: 978-5-98811-787-2
- Наличие: Есть в наличии
-
Срок доставки: 21 день
- (13 оценок)
-
11.28€ 9.25€
Нашли этот товар по более низкой цене?
Во-первых - Вы молодец!
Во-первых - Вы молодец!
Просим Вас сообщить нам:







