Бесплатная Доставка 55,- €

Аннотация: Геометрия. 7-9 классы. Решебник. К книге Э.Н. Балаяна "Геометрия. Задачи на готовых чертежах для подготовки к ОГЭ и ЕГЭ" (7-9 классы)

В предлагаемом пособии приводятся полные решения всех без исключения задач из книги Геометрия: задачи на готовых чертежах для подготовки к ОГЭ и ЕГЭ: 7-9 классы, ставшей лауреатом шести международных выставок-презентаций учебно-методических изданий. Некоторые задачи решены различными способами, чтобы читатель имел возможность ознакомиться с сущностью рационального решения. Сложные задачи отмечены знаком *, а наиболее трудные - **. Ученикам будет целесообразно обращаться к решебнику после того, как они самостоятельно решат задачи, или тогда, когда они убедятся в том, что не в силах справиться с заданием. Пособие адресовано учащимся общеобразовательных школ, колледжей для подготовки к ОГЭ и ЕГЭ, а также начинающим учителям математики, студентам - будущим учителям и репетиторам. 2-е издание.



Бесплатная Доставка по Европе (EU)*

*Для заказов свыше 40, - евро Подробнее

Геометрия. 7-9 классы. Решебник. К книге Э.Н. Балаяна "Геометрия. Задачи на готовых чертежах для подготовки к ОГЭ и ЕГЭ" (7-9 классы)

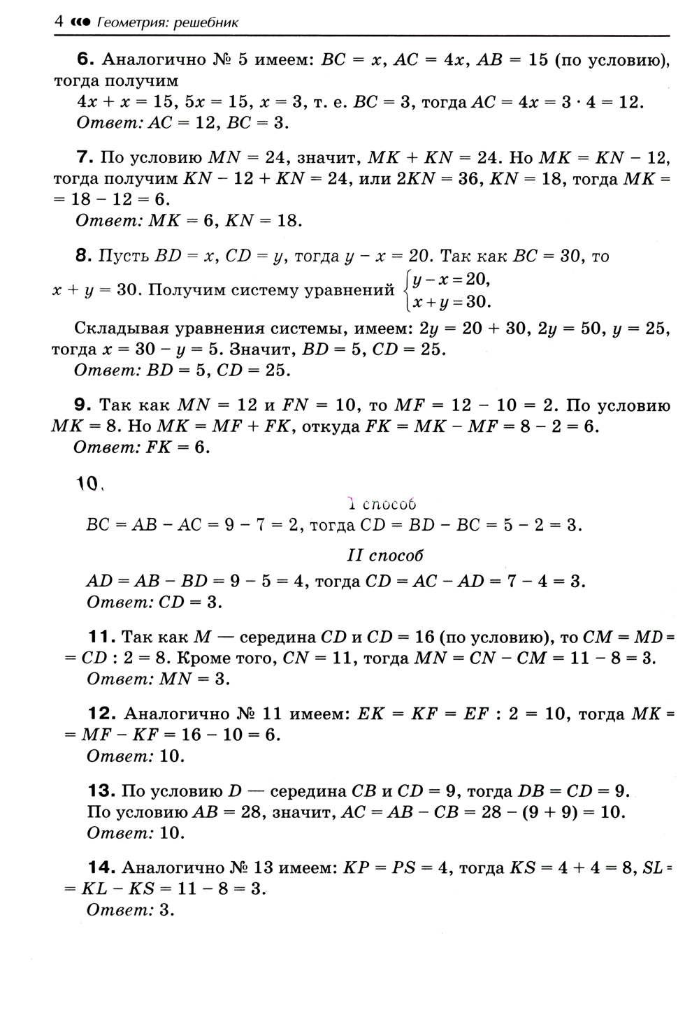
  • Модель: MYSH5046597
  • ISBN: 978-5-222-41769-0
  • Наличие:
  • Срок доставки: 21 день
  • 4.2
    (7 оценок)
Loading
Loading

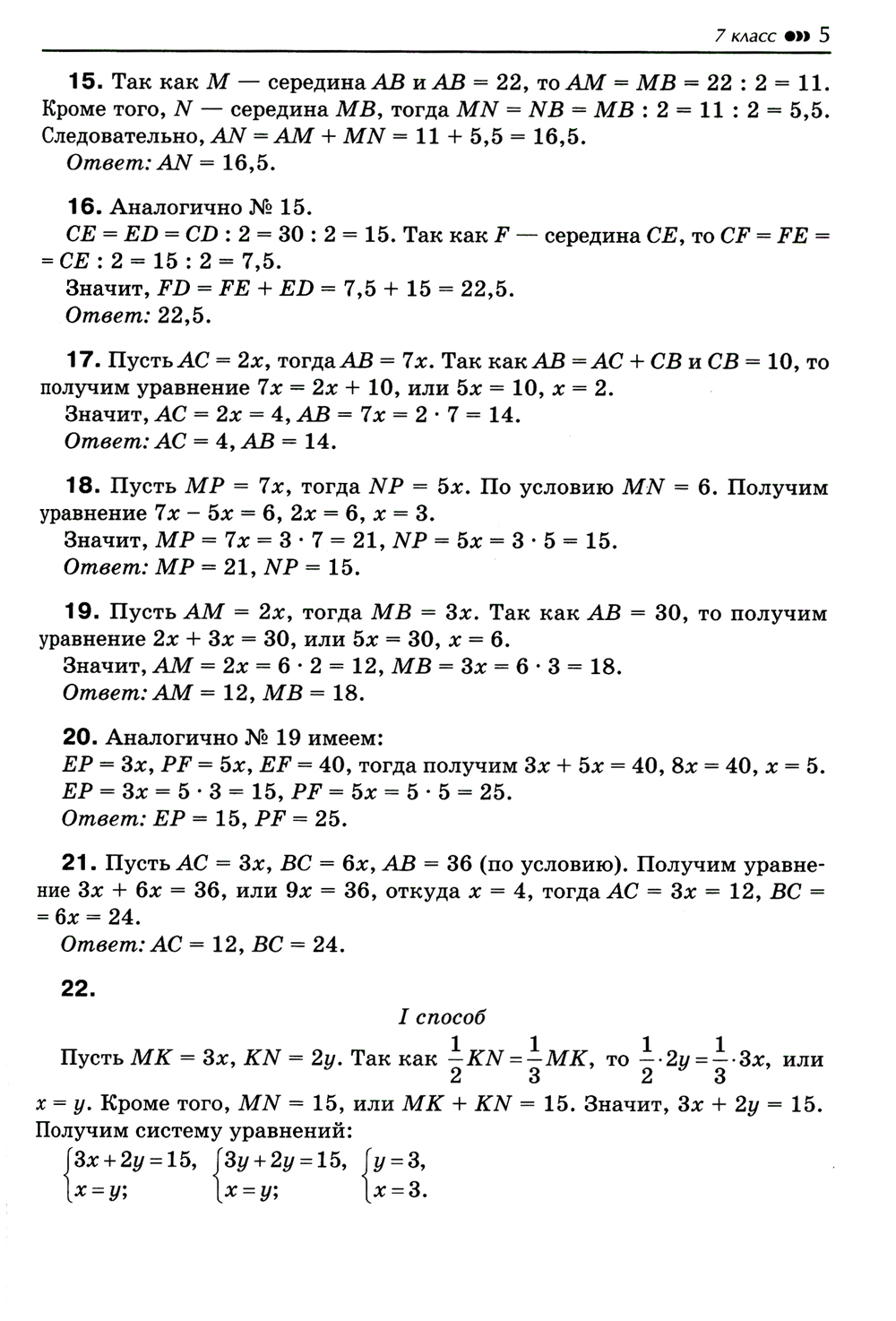
Мы доставляем наши товары по всей Европе, включая страны ЕС, в том числе по Латвии, Эстонии, Литве, Германии, Италии, Франции, Нидерландам (Голландии), Бельгии, Австрии, Польше, Финляндии, Ирландии, Чехии, Швеции, Дании, Португалии, Греции, Болгарии, Словакии, Кипру, Словении, Венгрии, Люксембургу, Мальте, Румынии, Хорватии, а также по Израилю, Соединённым Штатам Америки (США), Великобритании, Швейцарии, Канаде, Норвегии. Подробнее...