Бесплатная Доставка 55,- €

Аннотация: Материалы для подготовки к вступительным экзаменам по Математике в 9-й класс Лицея НИУ ВШЭ. 2-изд

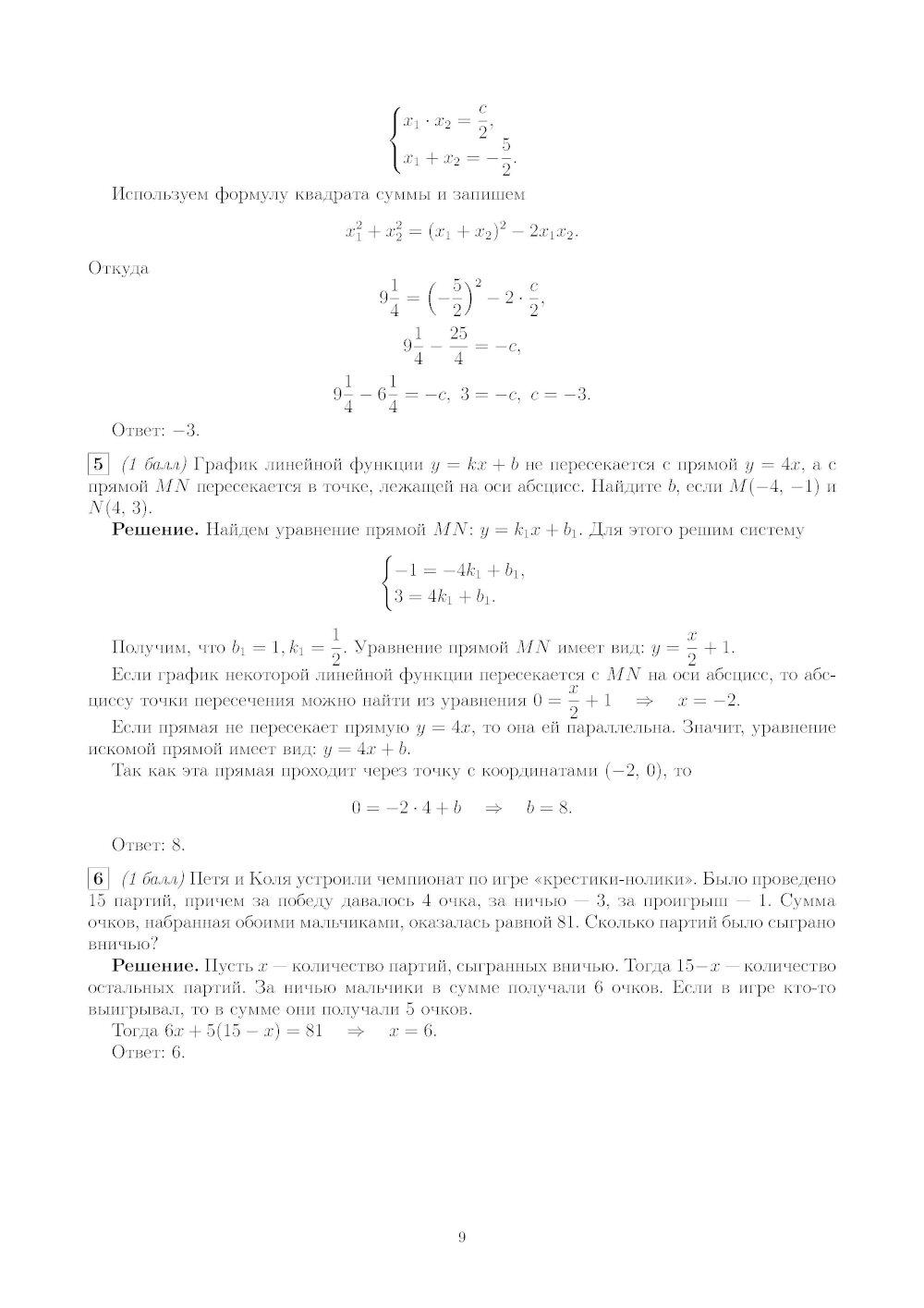
Настоящее пособие предназначено для учащихся 8-х классов, которые планируют поступать в 9-й класс Лицея НИУ ВШЭ. В пособии приведены демоварианты 1-го и 2-го этапов вступительных испытаний в 9-й класс Лицея НИУ ВШЭ, разборы заданий из этих вариантов, описаны критерии оценивания. Представлены варианты для самостоятельной подготовки к вступителным испытаниям 1-го и 2-го этапов в 9-й класс.

Бесплатная Доставка по Европе (EU)*

*Для заказов свыше 40, - евро Подробнее

Материалы для подготовки к вступительным экзаменам по Математике в 9-й класс Лицея НИУ ВШЭ. 2-изд

  • Производитель: ИД Высшей школы экономики
  • Модель: TEEI12037650
  • ISBN: 978-5-7598-4369-6
  • Наличие:
  • Срок доставки: 21 день
  • 4.5
    (10 оценок)
Loading
Loading

Мы доставляем наши товары по всей Европе, включая страны ЕС, в том числе по Латвии, Эстонии, Литве, Германии, Италии, Франции, Нидерландам (Голландии), Бельгии, Австрии, Польше, Финляндии, Ирландии, Чехии, Швеции, Дании, Португалии, Греции, Болгарии, Словакии, Кипру, Словении, Венгрии, Люксембургу, Мальте, Румынии, Хорватии, а также по Израилю, Соединённым Штатам Америки (США), Великобритании, Швейцарии, Канаде, Норвегии. Подробнее...