Аннотация: Курс шахматных дебютов
В книге даётся аналитический обзор всех основных шахматных начал, проиллюстрированных содержательными партиями, включая партии самого последнего времени. Предпочтение отдано тем дебютным системам, вариантам и ходам, которые выдержали самое серьёзное из всех испытаний -испытание временем. Новое издание дополнено и переработано коренным образом - внесены существенные изменения в аналитическую часть книги с учётом последних достижений современной шахматный теории. Особое внимание в разделе партий уделено творчеству чемпиона мира Магнуса Карлсена. Книга поможет освоить премудрости дебютной теории не только начинающим шахматистам, но будет полезна и более опытным игрокам.| Издательство | Изд.Калиниченко |
| Автор/составитель | Калиниченко Николай Михайлович |
| Серия | Школа шахмат |
| Год выпуска | 2024 |
| Кол-во страниц | 184 |
| ISBN | 978-5-00235-009-4 |
| Обложка | переплет-твердая обложка |
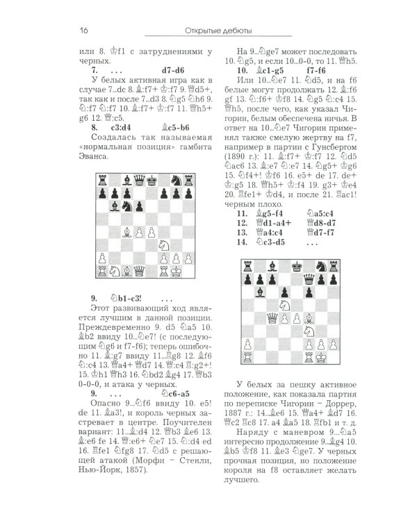
| Вес | 499г |
| Формат | 14 x 22 cm |
| Возрастная категория | 12+ |
Бесплатная Доставка по Европе (EU)*
*Для заказов свыше 40, - евро Подробнее
Курс шахматных дебютов
-22%- Производитель: Изд.Калиниченко
- Модель: TEEI11266120
- ISBN: 978-5-00235-009-4
- Наличие: Есть в наличии
-
Срок доставки: 21 день
- (5 оценок)
-
19.69€ 15.36€
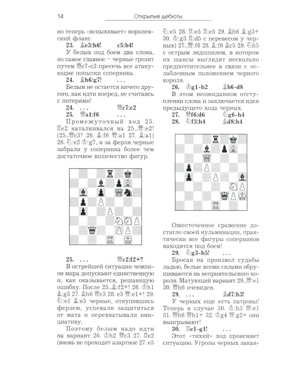
Нашли этот товар по более низкой цене?
Во-первых - Вы молодец!
Во-первых - Вы молодец!
Просим Вас сообщить нам:

















