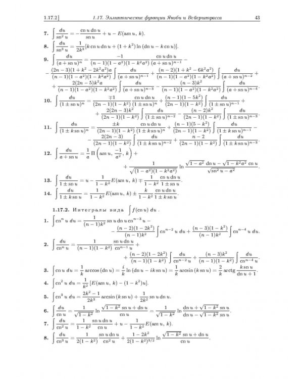
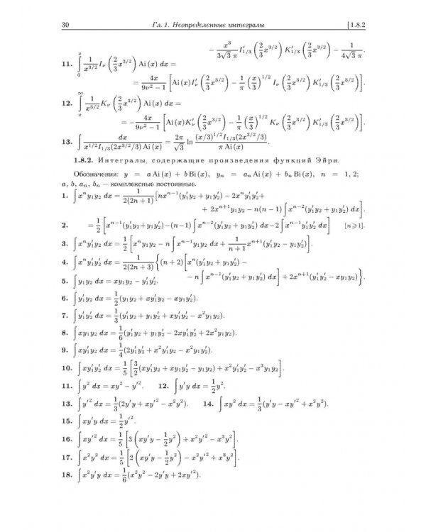
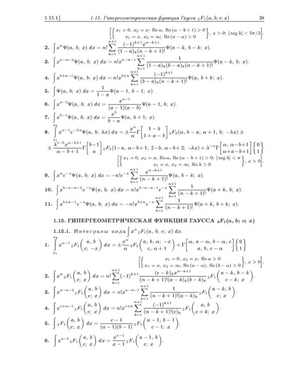
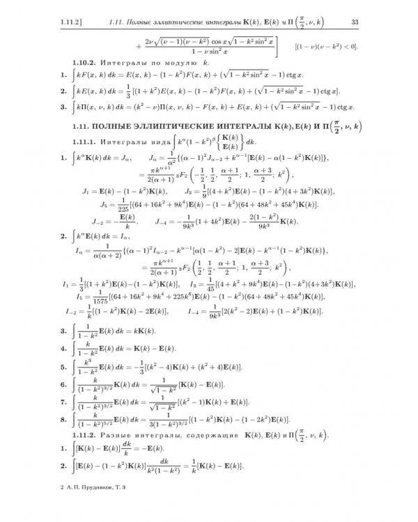
Аннотация: Интегралы и ряды. В 3-х томах. Том 3. Специальные функции. Дополнительные главы
Книга содержит неопределенные и определенные интегралы, суммы и ряды, не вошедшие в предыдущие два тома. Приведены таблицы представлений обобщенных гипергеометрических функций, G-функции Мейера и их преобразований Меллина. Помещены разделы, посвященные свойствам гипергеометрических функций, G-функции Мейера и H-функции Фокса. Книга предназначена для широкого круга специалистов в различных областях, а также для студентов высших учебных заведений. 2-е издание, исправленное.
| Автор/составитель | Прудников Анатолий Платонович, Брычков Юрий Александрович, Маричев Олег Игоревич |
| Год выпуска | 2003 |
| ISBN | 5-9221-0325-3 |
| Производитель | Физматлит |
| Издательство | Физматлит |
| Количество томов | 1 |
| Количество страниц | 688 |
| Переплет | Твёрдый переплёт |
| Размеры | 247x175x34 мм |
| Цвет | Зелёный |
| Тип бумаги | офсетная (60-220 г/м2) |
| Формат | 70x100/16 (170x240 мм) |
| Стандарт | 6 |
| Вес | 1036 |
| Язык | русский |






































































